中国博士后基金第70批面上项目来了,3983人-博士后基金
来源:中国博士后科学基金会
关于公布中国博士后科学基金
第70批面上资助获资助人员名单的通知
中博基字〔2021〕11号
各博士后设站单位:
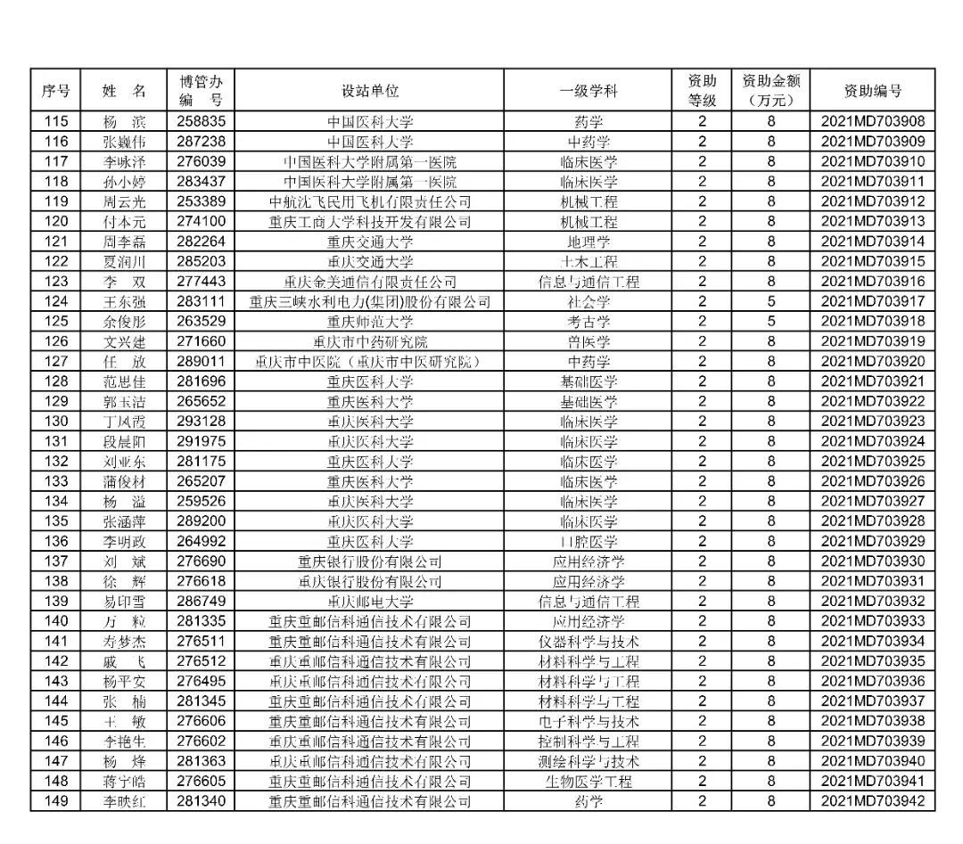
根据《中国博士后科学基金资助规定》(中博基字〔2020〕7号),经专家评审和评审结果公示,确定对陈绍辉等3983人给予中国博士后科学基金第70批面上资助。获资助人员名单详见附件,军队系统获资助人员名单由军队系统公布。
附件:
1.中国博士后科学基金第70批面上资助获资助人员名单.pdf
2.中国博士后科学基金第70批面上资助“地区专项资助计划”获资助人员名单.pdf
中国博士后科学基金会
2021年11月15日
- 版权所属:理财广场
- 本文地址:http://www.cj8818.cn/104926.html
- 版权声明:版权声明:本文内容由互联网用户自发贡献,该文观点仅代表作者本人。本站仅提供信息存储空间服务,不拥有所有权,不承担相关法律责任。如发现本站有涉嫌抄袭侵权/违法违规的内容, 请发送邮件至 931614094@qq.com 举报,一经查实,本站将立刻删除。